乐投体育
中国政府网
|
乐投体育官方网站-乐投体育LETOU SPORTS
无障碍浏览
|
主页
政府信息公开
办事服务
互动交流
乐投监管
企业名录
站内搜索
站内搜索
站群搜索
检索
乐投体育
>
信息公开
>
财政信息
乐投体育官网 2024年部门决算公开
乐投体育官方网站-乐投体育LETOU SPORTS letou365.net
时间:2025年08月22日 17:23
【字体:
大
中
小
】
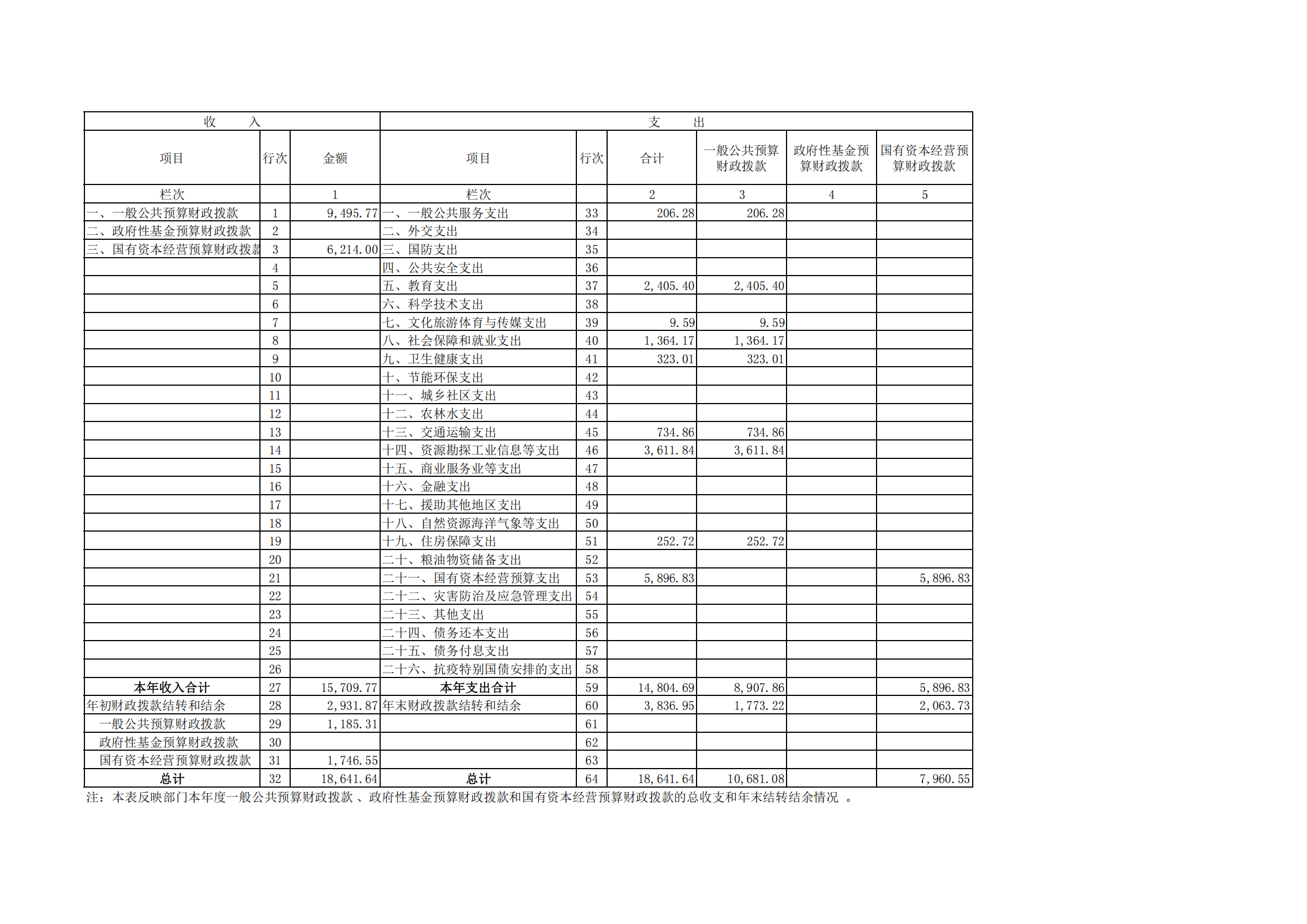
乐投体育官网 2024年部门决算表
乐投体育官网 2024年部门决算公开说明
收藏
< img src=""/>
乐投体育官网 2024年部门决算公开
33780594